Three's a crowd: Ternary (ing) variation in the North of England

Abstract

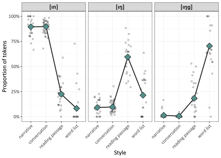
Despite the attention (ing) has received in variationist literature, it is comparatively understudied in the North West of England where it holds something of a unique sociolinguistic profile. Variation in this region is between three competing forms: [ɪŋɡ] appears alongside the usual [ɪn]/[ɪŋ] variants. Based on sociolinguistic interviews with 32 speakers from this region, this study investigates whether [ɪŋɡ] replaces [ɪŋ] as the local standard or exists alongside it to fulfill a different sociolinguistic role. Results suggest that [ɪŋ] is maintained as the standard variant, and that [ɪŋɡ] occupies its own functional space as a feature of emphatic and hyper-articulate speech, appearing almost exclusively before pause. (ing) also shows no sensitivity to part of speech, despite the strength of this effect in other varieties of English. These results are discussed in the context of broader questions regarding the underlying representation of this variation, specifically its allophonic or allomorphic nature.

Publication
In Language Variation and Change